DINAMIKA FLUIDA
Fluida Dinamis, Fluida Statis, Dan Perbedaannya – Fluida statis dan dinamis merupakan sebuah aspek penting dalam kehidupan. Fluida merupakan suatu zat yang dapat mengalir. Zat cair dan zat gas merupakan jenis fluida. Karena kedua zat tersebut mempunyai sifat yang dapat mengalir. Berbeda dengan batu dan berbagai benda keras lainnya, seluruh zat padat tak termasuk dalam fluida karena zat padat tidak bisa mengalir.
Zat cair dapat berupa seperti halnya susu, minyak minyak goreng, dan juga air. Seluruh zat cair tersebut termasuk ke dalam jenis fluida. Terlebih dengan sifatnya yang bisa mengalir dari satu tempat ke tempat yang lainnya.

https://www.pexels.com
Selain zat cair, terdapat zat gas yang juga termasuk fluida. Zat gas juga memiliki kemampuan untuk mengalir dari satu satu tempat ke tempat lainnya.Hembusan angin merupakan salah satu contoh udara yang dapat berpindah dari satu tempat ke tempat lainnya. Berdasarkan pergerakannya, fluida terbagi menjadi fluida statis dan juga fluida dinamis.
Fluida Dinamis
Fluida sangat di perlukan dalam kehidupan sehari-hari. Setiap harinya, manusia menggunakan fluida untuk minum, mencuci pakaian, menghirup udara dan banyak kegiatan lainnya. Fluida ini dapat dibagi menjadi dua bagian yaitu fluida statis dan fluida dinamis.
Sifat Fluida Dinamis
Guna mempermudah dalam mempelajari fenomena fluida dinamis ini, para ilmuwan telah bersepakat untuk membuat asumsi perihal fluida ideal. Sifat-sifat fluida ideal yakni di antaranya:
- Merupakan aliran tunak (kecepatan aliran di suatu titik ialah konstan terhadap waktu). Apabila kecepatan v pada suatu titik adalah konstan, maka aliran fluida dapat dikatakan tunak. Contoh dari aliran tunak ialah arus air yang dapat melaju dengan tenang (kelajuan aliran rendah).
- Merupakan aliran yang tak termampatkan, artinya fluida yang mengalir tidak mengalami perubahan volume atau massa jenis saat ditekan. Apabila afluida yang mengalir tidak mengalami perubahan volume atau massa jenis saat ditekan, maka aliran fluida dapat dikatakan tak termampatkan.
- Merupakan aliran yang tidak kental. Fluida tidak akan mengalami gesekan antara lapisan fluida satu dengan lapisan fluida yang lainnya. Bahkan, cairan fluifa juga tidak mengalami gesekan dengan dinding saluran sebagai akibat dari gejala viskositas.
- Aliran mempunyai garis arus dan tidak bergolak, artinya tiap-tiap partikel fluida akan melalui titik lintasan yang sama dan menuju ke arah yang sama. Meskipun tak ada fluida yang benar-benar ideal, tetapi fluida yang paling mendekati dengan sifat-sifat fluida ideal tadi ialah air. Sehingga penelitian-penelitian perihal fluida kerap kali menggunakan air.
Jenis Aliran Fluida
Ada beberapa jenis dari aliran fluida. Lintasan yang dilalui oleh suatu fluida yang sedang bergerak disebut dengan garis alir. Berikut ini beberapa jenis aliran fluida yakni sebagai berikut :
- Aliran lurus atau laminer yakni aliran fluida mulus. Lapisan-lapisan yang bersebelahan meluncur satu sama lain dengan lancar dan mulus. Pada aliran ini partikel fluida akan bergerak mengikuti lintasan yang mulus. Selain itu, lintasan ini tak saling bersilangan antara satu dengan yang lainnya. Aliran laminer dapat ditemukan pada air yang dialirkan melalui slang atau pipa.
- Aliran turbulen yakni aliran yang disertai dengan adanya lingkaran-lingkaran tak menentu dan menyerupai pusaran. Aliran turbulen kerap kali ditemukan di selokan maupun sungai.
Ciri-ciri Umum Fluida Dinamis
Ciri-Ciri umum dari fluida dinamis yakni sebagai berikut :
- Fluida dianggap tak kompatibel
- Walaupun ada gerakan materi (tidak mempunyai kekentalan), fluida dianggap bergerak tanpa gesekan.
- Aliran fluida ialah aliran stasioner, yakni kecepatan dan arah gerak partikel fluida yang melalui suatu titik tertentu selalu bersifat tetap
- Tidak bergantung pada waktu (tunak), artinya ialah kecepatan konstan pada titik tertentu, dan membentuk
- Aliran leminer atau (berlapis)
Besaran-besaran Dalam Fluida Dinamis
Debit aliran (Q)
jumblah volume fluida yang mengalir dalam satuan waktu,atau

Dimana :
Q = debit aliran (m3/s)
A = luas penampang (m2)
V = laju aliran fluida (m/s)
Aliran fluida sering dinyatakan dalam debit aliran

Dimana :
Q = debit aliran (m3/s)
V = volume (m3)
t = selang waktu (s).
Perhatikan contoh berikut
Ani sedang menguras bak mandinya. Setelah selesai, ia mengisi bak mandi hingga penuh. Lamanya pengisian itu adalah 5 menit. Jika volume bak mandi Ani 250 liter, berapakah debit air yang keluar?
Diketahui :
V = 250 liter = 0,25 m3
t = 5 menit = 300 s
Ditanya: Q =…?
Jawaban
Debit air yang keluar bisa dicari dengan rumus berikut.
Q = V / t = 0,25 / 300 = 8,33 x 10-4 m3 / s
Jadi, debit air yang keluar adalah 8,33 × 10-4 m3/s.
Hukum-hukum Fluida Dinamis
Terdapat 2 hukum yang berlaku di dalam fluida dinamis, yakni Hukum Kontinuitas dan juga Hukum Bernoulli.
1, Hukum Kontinuitas
Misalnya dalam peristiwa menyiram bunga, air yang mengalir dari slang yang ujungnya ditekan, akan mengalir dengan lebih cepat, mengapa bisa demikian? Hal tersebut disebabkan karena adanya fenomena Hukum Kontinuitas pada fluida yang mengalir.
Hukum Kontinuitas menyatakan bahwa debit air yang mengalir pada tiap-tiap titik sepanjang aliran slang ialah konstan atau sama.

Secara matematis dapat dituliskan sebagai berikut :
![]()
Debit atau Q merupakan jumlah volume fluida yang mengalir per satuan waktu atau secara matematis ditulis dengan
![]()
Volume dapat dihitung dengan mengalikan luas penampang pada slang dengan panjang slang atau V = A cdot L.
![]()
Sehingga persamaan debit menjadi panjang slang yang dilewati oleh air dapat dihitung dengan cara kecepatan air dikali dengan waktu, atau dengan kata lain kecepatan adalah panjang selang dibagi waktu, v = frac{L}{t}.
Sehingga persamaan debit menjadi maka hukum kontinuitas bisa dituliskan juga menjadi
2. Hukum Bernoulli
Hukum Bernoulli ditemukan oleh Daniel Bernoulli, ilmuwan asal Jerman. Dari penemuan ini, Pada tahun 1738, Bernoulli berhasil menerbitkan sebuah buku berjudul Hydrodynamica.
Hukum Bernoulli ialah hukum yang berlandaskan pada hukum kekekalan energi yang dialami oleh aliran fluida. Hukum ini menyatakan bahwa jumlah tekanan (p), energi kinetik per satuan volume, serta energi potensial per satuan volume mempunyai nilai yang sama pada setiap titik sepanjang suatu garis arus.
Hukum ini dapat diaplikasikan untuk berbagai jenis aliran fluida asalkan memenuhi syarat-syarat berikut ini.
- Fluidanya tak dapat bisa (incompressible).
- Fluidanya tak mempunyai viskositas.
- Aliran fluidanya tetap (steady).
- Aliran fluidanya berjenis laminar (bersifat tetap dan tidak membentuk pusaran).
- Tidak ada energi yang hilang sebagai akibat gesekan antara fluida dan dinding serta turbulen.
- Tidak ada transfer energi kalor.
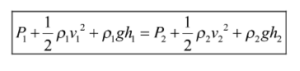
Dalam hal ini berlaku Hukum Bernoulli yang menyatakan bahwa tiap jumlah dari tekanan (p), energi kinetik per satuan volum ( ½rv2) dan energi potensial per satuan volum (rgh) mempunyai nilai yang sama pada tiap-tiap titik sepanjang garis arus.
Hukum Bernoulli apabila dinyatakan dalam persamaan menjadi :

Keterangan :
P1 = tekanan di pipa 1 (N/m2);
P2 = tekanan di pipa 2 (N/m2);
ρ1 = massa jenis pipa 1 (kg/m3);
ρ2 = massa jenis pipa 2 (kg/m3);
v1 = kecepatan fluida yang berada di pipa 1 (m/s);
v2 = kecepatan fluida yang berada di pipa 2 (m/s);
h1 = ketinggian penampang pada pipa 1 dari titik acuan (m);
h2 = ketinggian penampang pada pipa 2 dari titik acuan (m); dan
g = percepatan gravitasi (m/s2).
Teorema Toricelli (laju effluk)
Laju air yang menyembur dari lubang yang sama dengan air yang jatuh bebas dari ketinggian. Laju air yang menyembur dari lubang ini dinamakan laju effluk, sedangkan fenomenanya dinamakan dengan teorema Toricelli.

Apabila diterapkan persamaan Bernoulli pada titik 1 (permukaan wadah) dan titik 2 (permukaan lubang). Karena diameter kran/lubang pada dasar wadah berukuran jauh lebih kecil apabila dibandingkan dengan diameter wadah, maka kecepatan zat cair di permukaan wadah dianggap nol (v1 = 0). Permukaan wadah dan permukaan lubang/kran terbuka sehingga tekanannya berjumlah sama dengan tekanan atmosfir (P1 = P2). Dengan demikian, persamaan Bernoulli untuk kasus ini ialah :
Penerapan Hukum Bernoulli
Prinsip Hukum Bernoulli juga diterapkan pada benda yang kerap dijumpai dalam kegiatan sehari-hari berikut ini.
1. Parfum
Ketika menekan penyemprot parfum ke arah bawah, maka cairan yang berada di bagian bawah akan bergerak dengan kelajuan rendah, yang mengakibatkan tekanannya di cairan bagian bawah menjadi semakin tinggi.
Hal tersebut bisa mendorong cairan untuk bergerak ke atas melewati selang parfum dengan berukuran kecil. Ketika sampai di atas selang, udara pada bagian pengisap akan keluar bersamaan dengan semburan parfum.
2. Pipa Venturimeter
Pipa venturimeter ialah sebuah alat yang digunakan untuk mengukur kelajuan aliran zat cair. Pipa ventirumeter ini didesain berbentuk pipa yang dengan penyempitan diameter. Berdasarkan ada atau tidaknya alat pengukur tekanan, alat ini dapat dibedakan menjadi dua, yakni venturimeter tanpa manometer dan venturimeter dengan manometer.
Manometer ialah alat yang digunakan untuk mengukur tekanan udara yang berada di ruang tertutup. Apabila Grameds ingin mengetahui bentuk dari pipa venturimeter, perhatikan gambar berikut.

Venturimeter yang ditampilkan pada gambar sebelumnya tak memiliki manometer. Maka dari itu, untuk menentukan kecepatan aliran zat cair yang masuk penampang 1 dan 2 dapat dirumuskan sebagai berikut.

Keterangan :
A1 = luas penampang pipa 1 (m2);
A2 = luas penampang pipa 2 (m2);
v1 = kecepatan pada penampang pipa 1 (m/s);
v2 = kecepatan pada penampang pipa 2 (m/s);
h = perbedaan tinggi cairan pipa kecil di atas venturimeter (m); dan
g = percepatan gravitasi (m/s2).
3. Tabung pitot
Tabung pitot ialah sebuah alat yang digunakan untuk mengukur kelajuan gas yang berada di dalam pipa. Perhatikan gambar berikut.

Secara matematis, laju aliran gas di dalam pipa dirumuskan dengan sebagai berikut.

Keterangan:
v = kelajuan fluida (m/s)
g = percepatan gravitasi (m/s2)
h = selisih ketinggian cairan pada manometer (m)
ρ = massa jenis gas (kg/m3)
ρ’ = massa jenis zat cair di dalam manometer (kg/m3)
Contoh Soal Fluida Dinamis
Agar kamu semakin paham, yuk simak contoh soal di bawah ini.
Contoh Soal 1
Hari memiliki pipa yang menyempit di bagian ujungnya. Dimater pipa lebar dan sempitnya berturut-turut adalah 6 cm dan 2 cm. Jika kelajuan air saat melalui pipa yang lebar adalah 5 m/s, tentukan kelajuan air saat melalui pipa yang sempit!
Diketahui :
d1 = 6 cm
d2 = 2 cm
v1 = 5 m/s
Ditanya: v2 =…?
Jawaban
Untuk menentukan kelajuan air saat melalui pipa yang sempit, gunakan persamaan asas kontinuitas berikut.

Jadi, kelajuan air saat melalui pipa yang sempit adalah 45 m/s.
Contoh Soal 2
Seorang peneliti hendak menggunakan tabung pitot untuk mengukur laju gas oksigen. Menurut literatur yang diperoleh peneliti tersebut, massa jenis gas oksigen adalah 0,5 gr/cm3. Jika massa jenis zat cair yang digunakan pada manometer pitotnya 800 kg/m3 dan perbedaan ketinggian pada menometernya 120 cm, tentukan laju gas oksigen tersebut!
Diketahui :
g = 10 m/s2
h = 120 cm = 0,12 m
ρ = 0,5 g/cm3 = 500 kg/m3
ρ’ = 800 kg/m3
Ditanya: v =…?
Jawaban
Laju gas oksigen di dalam tabung bisa kamu tentukan dengan rumus berikut

Jadi, kelajuan gas oksigen yang terukur adalah 2 m/s.
Contoh Soal 3
Sebuah pesawat memiliki luas penampang sayap 50 m2. Kelajuan udara di bagian atas sayap adalah 310 m/s dan kelajuan di udara di bagian bawah sayapnya 300 m/s. Jika massa jenis udaranya 1,3 kg/m3, berapakah gaya angkat pesawatnya?
Diketahui :
v1 = 310 m/s
v2 = 300 m/s
ρ = 1,3 kg/m3
A = 50 m2
Ditanya: F =…?
Jawaban

Jadi, gaya angkat pesawat tersebut adalah 198.250 N
Sumber refrensi yang saya ambil adalah:
https://www.quipper.com/id/blog/mapel/fisika/fluida-dinamis/
Fluida Statis
Fluida Statis atau Hidrostatika dapat didefinisikan sebagai cabang ilmu fisika yang membahas perihal tekanan, keseimbangan air, dan juga cairan yang lainnya. Cairan yang berada di dalam keadaan diam menciptakan masalah yang jauh dari kata sepele untuk dipecahkan apabila dibandingkan ketika dengan fluida yang dinamis.
Pengertian Fluida Statis
Fluida Statis ialah fluida yang berada dalam tak tidak bergerak (diam) atau fluida dalam keadaan bergerak tetapi tidak ada perbedaan kecepatan dari partikel-partikel fluida tersebut. Dapat juga dikatakan bahwa partikel-partikel fluida tersebut bergerak dengan kecepatan yang sama dan tidak menimbulkan gaya geser. Misalnya seperti air pada gelas yang tidak dikenai gaya akan tetap diam atau pun pada air sungai yang mengalir dengan kecepatan yang konstan.
Beberapa rumus Fluida Statis adalah sebagai berikut ini:
1. Massa Jenis
Dalam ilmu fisika, densitas atau ukuran kepadatan pada benda homogen disebut dengan massa jenis, yakni massa per satuan volume. Semakin tinggi massa jenis dari suatu benda, maka semakin besar pula massa dari tiap-tiap volumenya. Hal ini memiliki fungsi untuk menentukan zat. Tiap-tiap zat mempunyai massa jenis yang berbeda-beda. Secara matematis, massa jenis dapat dituliskan sebagai berikut.
ρ = m/V
Keterangan:
m = massa (kg atau g),
V = volume (m3 atau cm3)
ρ = massa jenis (kg/m3 atau g/cm3).
Jika ρ dari air lebih besar dari ρ benda, maka benda akan mengapung. Apabila ρ keduanya sama besar, maka benda akan melayang di dalam air. Akan tetapi, jika ρ benda lebih besar daripada ρ air maka benda akan tenggelam.
2. Tekanan Hidrostatis
Tekanan hidrostatis yang berada pada titik kedalaman berapapun, tak akan dipengaruhi oleh berat air, luasan permukaan air, ataupun bentuk dari bejana air. Tekanan hidrostatis hanya akna dipengaruhi oleh luas dari objek yang menerimanya atau dari kedalaman ukur.
Tekanan hidrostatis menekan ke berbagai arah, merupakan gaya yang diberikan pada luasan yang dapat dihitung atau dapat diukur berdasarkan pada kedalaman dari objek.
Persamaan untuk hal ini ialah :
Ph= ρ.g.h
Keterangan:
ρ = massa jenis air (untuk air tawar, ρ = 1.000 kg/m3)
g = besar percepatan gravitasi (percepatan gravitasi di permukaan bumi sebesar g=9,8 atau 10 m/s2)
h = titik kedalaman yang diukur dari permukaan air (m)
Satuan yang digunakan adalah N/m2 atau Pascal (Pa). Ada juga tekanan yang disebut sebagai tekanan mutlak. Tekanan mutlak adalah tekanan total yang dialami oleh objek yang berada di dalam air, rumusnya:
P = Ph + Patm
Patm merupakan tekanan atmosfer.(1,013 x 105 Pa)
Hukum Pascal
Tekanan didefinisikan sebagai gaya yang diberikan dibagi luasan dari objek yang menerima gaya tersebut. Dalam bentuk rumus, akan dituliskan menjadi:
P = FA
Keterangan:
F = besarnya gaya (Newton)
A = luasan penampang (m2)
Hukum Pascal menyatakan bahwa tekanan yang diberikan pada fluida dalam ruang tertutup akan diteruskan sama besar ke berbagai arah dan bisa disimpulkan menjadi:
Pmasuk = Pkeluar
Sehingga:
FMasukAMasuk= FKeluarAKeluar
F1 = (d1d2). F2
Keterangan:
d1 = diameter permukaan 1
d2 = diameter permukaan 2
Perbedaan Fluida Statis dan Dinamis
Perbedaan dari fluida statis dan fluida dinamis adalah sebagai berikut :
1. Pengertian
Fluida statis ialah fluida yang sedang berada dalam fase diam atau fluida yang berada pada kondisi tidak bergerak. Sedangkan fluida dinamis ialah fluida yang sedang dalam kondisi bergerak.
2. Kecepatan
Fluida statis tak mempunyai perbedaan kecepatan antar partikel fluida. Hal itu dapat dikatakan bahwa beberapa partikel fluida mempunyai pergerakan kecepatan yang seragam. Sehingga fluida tersebut tak mempunyai gaya geser.
Sedangkan fluida dinamis mempunyai kecepatan yang konstan terhadap waktu. Selain itu, fluida dinamis tak mengalami perubahan volume dan tidak berwujud kental. Selain itu, fluida dinamis juga tidak mengalami putaran atau turbulen.
Penyelesaian dalam penghitungan fluida dinamis, pada umumnya membutuhkan perhitungan berbagai properti. Hal itu sebagai kecepatan, kepadatan, tekanan, serta suhu yang berfungsi sebagai ruang dan waktunya.
referensi:
https://www.gramedia.com/literasi/fluida-dinamis/

Komentar
Posting Komentar